6. 2. 2023 – 8.05

En ogljik in štiri vezi

Nova sintezna strategija za sintezo kompleksnejših organskih molekul

Ogljik predstavlja osrednji element v organski kemiji. A manipulacije, ki vodijo v kompleksnejše organske molekule, niso enostavne, saj je ogljik sam po sebi precej nereaktiven element. Japonski raziskovalci so razvili novo sintezno strategijo reakcijske pretvorbe za uvedbo enega samega ogljikovega atoma v drugo organsko molekulo. V novonastali organski molekuli uvedeni ogljikov atom vzpostavi štiri čisto nove kovalentne vezi. 

Številne kemijske pretvorbe v sintezni organski kemiji zahtevajo, da v izhodno organsko molekulo uvedemo dodaten ogljikov atom in tako molekulo povečamo za en C-atom. A večina do zdaj razvitih reakcijskih postopkov in reagentov vodi le v nastanek ene ali pa dveh novih kovalentnih vezi na uvedenem ogljikovem atomu. Poleg želenega ogljikovega atoma tako v novonastalo molekulo uvedemo tudi odvečne molekulske skupine, ki se jih moramo z dodatnimi reakcijami znebiti ali jih ustrezno modificirati.

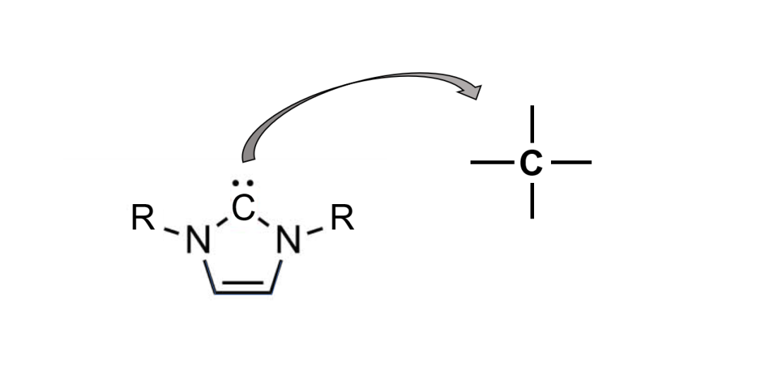
V svoji novi raziskavi so znanstveniki pokazali, da lahko z novim reakcijskim postopkom v izhodno organsko molekulo, ki je nenasičen amid, uvedejo dodaten ogljikov atom. Ta tvori kar štiri nove kovalentne vezi, in to v enem samem reakcijskem koraku. Reakcija poteče v organskem topilu toluenu pri povišani temperaturi. Za uspeh metode je ključna uporaba reagenta N-heterocikličnega karbena. Gre za ciklično organsko molekulo, v kateri je ogljikov atom povezan le z dvema atomskima skupinama in ima tako še par nesparjenih elektronov. Prav ta ogljikov atom se v reakciji prenese na molekulo nenasičenega amida. Reakcija tako omogoča uvedbo novega ogljikovega atoma v izhodno molekulo, hkrati pa je nastali produkt cikliziran, kar vodi k dodatni stabilizaciji produkta.

Pri reakciji nastanejo štiri nove kovalentne vezi. Ena med dvema ogljikovima atomoma, ena z dušikovim atomom ter dve novi vezi z vodikoma. Izhodni ciklični produkt tvori skupino spojin, imenovano γ-laktami. Ti predstavljajo pomembno skupino spojin, saj nekatere izmed njih že uporabljamo v farmaciji v obliki antibiotikov. Raziskovalci zato verjamejo, da bo novorazvita metoda med drugim pospešila odkritje in razvoj novih antibiotikov. Predstavlja namreč pomemben prispevek k naboru reakcijskih postopkov za sintezo kompleksnejših organskih molekul.

 

Znanstveni BritOFF je sintetiziral Uroš.

 

Vir: M. Kamitani et al., Science 379, 484 (2023).

Aktualno-politične oznake

Prazen radio ne stoji pokonci! Podpri RŠ in omogoči produkcijo alternativnih, kritičnih in neodvisnih vsebin.

Dodaj komentar

Komentiraj

Z objavo komentarja potrjujete, da se strinjate s pravili komentiranja.

Napovedi