Vstopna stran
Navigacijski meni
Program
Politika
Glasba
Kultura
Družba
Univerza
Znanost
RTVŠ
Ostalo
Glasbena oprema
RŠ hit
Mestni napovednik
Koncertni zapovednik
Komentarji
Arhiv
Podpri RŠ
Trgovina
Social links
Vmesnik
Parkinsonova bolezen
Audio file
Predvajaj (4:27)
Znanost
Znanstveni britoff
5. 5. 2022 – 8.00
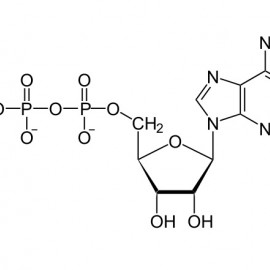
ATP: več kot le vir energije
Ohranjanje visoke koncentracije ATP preprečuje nastanek proteinskih agregatov v kvasovkah
Angelika Vižintin
Audio file
Predvajaj (3:50)
Znanost
Znanstveni britoff
12. 5. 2021 – 7.05
Posmrtno življenje rakavih celic
Apoptotična telesa kot dostavna farmacevtska oblika?
Patricija Dolinar
Audio file
Predvajaj (6:06)
Družba
Vsemogočna travica
25. 1. 2018 – 8.15
Parkinsonova bolezen
...in kanabinoidi.
Nejc Marcen
Vir: Tisa Troha
Vir: Katalena
Vir: Matic Brinc